山東羅欣藥業集團股份有限公司招標公告

【規 格】10mg,20mg
【包 裝】口服固體藥用高密度聚乙烯瓶(1)10mg:10片/瓶,20片/瓶 ;1瓶/盒;(2)20mg:10片/瓶;1瓶/盒;
【單 位】片
【批準文號】10mg:國藥準字H20065119 20mg:國藥準字H20065120。
【藥品名稱】
通用名稱:辛伐他汀片
英文名稱:Simvastatin Tablets
漢語拼音:Xinfatating Pian
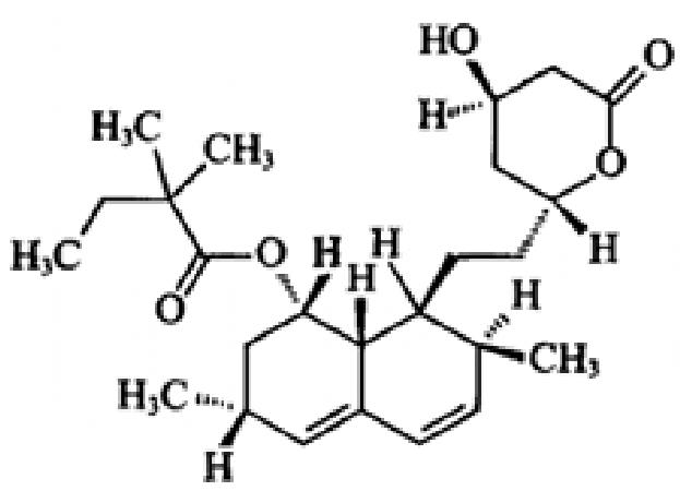
【成 份】本品主要成份為辛伐他汀。化學名稱: 2,2-二甲基丁酸(4R,6R)-6-[2-[(1S,2S,6R,8S,8αR)-1,2,6,7,8,8α-六氫-8-羥基-2,6-二甲基-1-萘基] 乙基] 四氫-4-羥基-2H-吡喃-2-酮-8-酯。
化學結構式:

分子式:C25H38O5
分子量:418.57
【性 狀】本品為薄膜衣片,除去包衣后顯白色至淡黃色。
【不良反應】
本品一般耐受性良好,大部分不良反應輕微且為一過性。在對照臨床研究中不足2%的患者因本品的不良反應而中途停藥。在上市前的對照臨床研究中,研究者認為與藥物有關(分為可能、很可能或肯定)且發生率≥1%的不良反應有腹痛、便秘和胃腸脹氣;發生率為0.5~0.9%的不良反應有疲乏無力和頭痛。肌病的報道很罕見。見注意事項,肌病/橫紋肌溶解。
在HPS研究中,共有20536名患者每日服用本品40mg(n=10269)或安慰劑(n=10267),平均觀察時間為5年,兩組間的安全性相似。這項大型試驗只記錄了嚴重不良反應和因副作用而退出研究的人數。兩組間因不良反應退出的比例是相似的(辛伐他汀組4.8%,安慰劑5.1%)。辛伐他汀組中的肌病發生率小于0.1%。辛伐他汀組和安慰劑組的轉氨酶升高(重復檢查中,超過正常值上限3倍以上)的比例分別為0.21%(n=21)和0.09%(n=9)。在北歐辛伐他汀生存研究(4S)中,4444名患者每天服用本品20~40mg(n=2221)或安慰劑(n=2223),隨訪時間的中位數為5.4年,兩組間的安全性及耐受性相似。在無對照臨床研究或上市后的應用中報道過下列不良反應:惡心、腹瀉、皮疹、消化不良、瘙癢、脫發、暈眩、肌肉痙攣、肌痛、胰腺炎、感覺異常、外周神經病變、失眠、抑郁、嘔吐,貧血,勃起功能障礙和間質性肺病。極少發生橫紋肌溶解和肝炎/黃疸,極罕見有致命及非致命肝衰竭的發生。罕見有與使用他汀有關的免疫介導性壞死性肌病(IMNM)(一種自身免疫性肌?。┑膱蟾?。
IMNM的特征為:近端肌無力和血清肌酸激酶升高(停用他汀后癥狀仍然存在);肌肉活檢顯示為無顯著炎癥的壞死性肌??;應用免疫抑制劑后改善(見注意事項,肌病/橫紋肌溶解)。
包括下列一項或多項癥狀的明顯的過敏反應綜合癥罕有報道:過敏性反應,血管神經性水腫、狼瘡樣綜合征、風濕性多發性肌痛、皮膚肌炎、脈管炎、血小板減少癥、嗜酸性細胞增多、紅細胞沉降率(ESR)升高、關節炎、關節痛、蕁麻疹、光敏感、發燒、潮紅、呼吸困難以及不適。
上市后經驗:他汀類藥品的國外上市后監測中有罕見的認知障礙的報道,表現為記憶力喪失、記憶力下降、思維混亂等,多為非嚴重、可逆性反應,一般停藥后即可恢復。
實驗室檢查發現 血清轉氨酶顯著和持續性升高的情況罕有報道。曾報道過堿性磷酸酶和γ-谷氨酸轉肽酶升高的情況。肝功能檢查異常為輕微和一過性的。
來源于骨骼肌的血清肌酸激酶(CK)升高的情況已有報道(見注意事項)。他汀類藥品的上市后監測中有高血糖反應、糖耐量異常、糖化血紅蛋白水平升高、新發糖尿病、血糖控制惡化的報告,部分他汀類藥品亦有低血糖反應的報告。對于辛伐他汀,有升高糖化血紅蛋白和空腹血糖的報告。
兒童患者(年齡10~17歲) 在一項包括年齡10~17歲的兒童雜合子家族性高膽固醇血癥患者的研究中(n=175),辛伐他汀治療組的安全性和耐受性總體與安慰劑治療組類似(見注意事項;兒童用藥)。
【禁忌】
---對本品任何成份過敏者。
---活動性肝臟疾病或無法解釋的血清轉氨酶持續升高者。
---懷孕和哺乳期婦女(見注意事項、懷孕和哺乳期婦女用藥)。
---與強CYP3A4抑制劑聯合應用(例如,伊曲康唑、酮康唑、泊沙康唑、伏立康唑、HIV蛋白酶抑制劑、波普瑞韋、替拉瑞韋、紅霉素、克拉霉素、泰利霉素、奈法唑酮或含有cobicistat的藥物)(見注意事項,肌病/橫紋肌溶解以及藥物相互作用)。---與吉非貝齊、環孢菌素或達那唑聯合應用(見注意事項,肌病/橫紋肌溶解以及藥物相互作用)。
【注意事項】
肌病/橫紋肌溶解 辛伐他汀偶爾能引起肌病,表現為肌肉痛、觸痛或乏力,并伴隨肌酸激酶(CK)升高,超過正常上限的10倍。肌病有時形成橫紋肌溶解,伴或不伴繼發于肌紅蛋白尿的急性腎功能衰竭,由此發生的致命性事件罕見。血漿中HMG-CoA還原酶抑制劑水平很高時肌病的危險增加(即辛伐他汀與辛伐他汀酸的血藥濃度升高),部分原因可能是相互作用的藥物干擾辛伐他汀代謝和/或轉運途徑(見藥物相互作用)。可預知的引起肌病的因素包括老齡(≥65歲),女性,未控制的甲狀腺機能減退及腎功能不全。肌病/橫紋肌溶解的風險與劑量相關。在一個臨床試驗數據庫中,有41413名患者接受了辛伐他汀治療。這些研究中有24747人(約為60%)中位隨訪期為至少4年,20,40和80mg/天的肌病發生率分別約為0.03%,0.08%和0.61%。
在這些試驗中,對患者進行了仔細的監測,并排除了某些相互作用的藥品。在一項臨床試驗中,共入選12064名心肌梗死病史的患者,平均隨訪6.7年,接受辛伐他汀80mg/天治療肌病的發生率約為1.0%,而接受20mg/天的患者則為0.02%。橫紋肌溶解的發生率,接受辛伐他汀80mg/天治療的患者發生率約為0.4%,而接受20 mg/天的患者則為0%。約有半數的肌病病例,是在治療的第1年中發生的。在以后治療的每1年中,肌病的發生率約為0.1%。接受辛伐他汀80mg的患者,與接受具有相似的LDL-C降低效應的以其他他汀類為基礎的治療相比,肌病的風險較高。應向所有開始辛伐他汀治療的患者,或正在增加辛伐他汀劑量的患者提醒包括橫紋肌溶解在內的肌病的風險,并且告知他們應及時報告任何原因不明的肌肉痛、觸痛或肌無力。如果診斷或懷疑肌病,應立即停用辛伐他汀。
出現這些癥狀,并且CK水平超過10倍正常上限,表明發生了肌病。在大多數病例中,當患者及時停用治療時,肌肉癥狀和CK升高可以得到緩解(見不良反應)。在開始辛伐他汀治療或正在增加劑量的患者中,可考慮定期測定CK。這種監測并不一定可以預防肌病。在辛伐他汀治療期間發生橫紋肌溶解的患者,多數具有復雜的病史。這些病史中包括腎功能不全-通常是由長期的糖尿病導致的。對此類患者應進行更為嚴密的監測。在行擇期大手術之前和任何嚴重的內科或外科疾病發生的情況下,辛伐他汀治療可以暫停幾天。在一項臨床試驗中,處于高心血管疾病風險的患者接受40mg/日辛伐他?。ㄖ形浑S訪期為3.9年)治療,結果表明,非中國裔患者(n=7367)中肌病發生率約為0.05%,與之相比,中國裔患者(n=5468)的發生率為0.24%。
然而,這項臨床試驗在亞裔群體中只評估了中國裔患者,因此,在開具辛伐他汀處方給亞裔患者時應該慎重,并應采用最低的必要劑量。
藥物相互作用
辛伐他汀與下列藥物聯合應用可增加肌病/橫紋肌溶解的危險:禁忌聯合應用的藥物
CYP3A4強抑制劑:禁止聯合應用說明書上列舉的在治療劑量下對CYP3A4具有強抑制作用的藥物(例如,伊曲康唑、酮康唑、泊沙康唑、伏立康唑、紅霉素、克拉霉素、泰利霉素、HIV蛋白酶抑制劑、波普瑞韋、替拉瑞韋、奈法唑酮或含有cobicistat的藥物)。如果短期內不可避免的需要應用CYP3A4強抑制劑治療,在此治療期間要暫停辛伐他汀治療(見禁忌;藥物相互作用) 。
吉非貝齊,環孢菌素或達那唑:辛伐他汀禁忌與這些藥物合用(見禁忌;藥物相互作用)。
其他藥物
?夫西地酸:應用夫西地酸治療的患者同時應用辛伐他汀治療時,可能會增加發生肌病/橫紋肌溶解的風險。(見藥物相互作用,其他藥物相互作用,藥代動力學)。辛伐他汀治療期間不推薦合用夫西地酸。對那些需要全身性使用夫西地酸的病人,有必要考慮在整個夫西地酸用藥期間停用辛伐他汀。在特殊情況下,需要延長全身性使用夫西地酸,例如為了治療嚴重的感染,應該具體分析每個患者的情況,并在嚴密的醫療監測下考慮是否需要辛伐他汀與夫西地酸合用。
?其他貝特類:在同時處方除吉非貝齊之外的其他貝特類和辛伐他汀時應謹慎,因為這兩類藥物單用時都能導致肌病。而兩者聯合應用時肌病的風險會增加。應當仔細權衡使用的獲益與風險。
?胺碘酮、氨氯地平或雷諾嗪:聯合應用胺碘酮、氨氯地平或雷諾嗪的患者,辛伐他汀的劑量不應超過每天20mg。
?維拉帕米、地爾硫卓或決奈達?。郝摵蠎镁S拉帕米、地爾硫卓或決奈達隆的患者,辛伐他汀的劑量不應超過每天10mg。
?洛美他派:在HoFH患者中同時服用洛美他派和辛伐他汀,辛伐他汀的劑量不應超過每天40mg(見藥物相互作用,其他藥物相互作用)。
?CYP3A4中效抑制劑:應用說明書上列舉的對CYP3A4有中等抑制作用的藥物的患者,聯合應用辛伐他汀,尤其是較高劑量的辛伐他汀, 其肌病的風險增加。當辛伐他汀與CYP3A4中效抑制劑合用時,有必要對辛伐他汀的劑量進行調整。
?乳腺癌耐藥蛋白抑制劑(BCRP):聯合應用BCRP抑制劑時(例如elbasvir和grazoprevir),可導致辛伐他汀血藥濃度的增加從而增加肌病的風險,因此有必要對辛伐他汀的劑量進行調整。尚無辛伐他汀與elbasvir和grazoprevir聯合應用的研究資料;在聯合應用elbasvir或grazoprevir的患者中,辛伐他汀的劑量不應超過每天20mg(見藥物相互作用,其他藥物相互作用)。
?煙酸(≥1g/天):在辛伐他汀與調脂劑量(≥1g/天)的煙酸聯合應用時,觀察到了肌病/橫紋肌溶解病例。在一項臨床試驗(中位隨訪期3.9年)中,處于高心血管疾病風險且LDL-C水平控制良好的患者,在聯合或不聯合使用10mg依折麥布的情況下接受40mg/日辛伐他汀治療,結果表明,增加調脂劑量(≥1g/日)的煙酸沒有增加心血管結局的獲益。因此,聯合使用辛伐他汀與煙酸時,應對聯合使用的獲益與其潛在風險進行仔細權衡。此外,在這項試驗中,接受辛伐他汀40mg 或依折麥布辛伐他汀10/40mg治療的中國裔患者的肌病發生率約為0.24%,與之相比,接受辛伐他汀40mg或依折麥布辛伐他汀10/40mg與緩釋煙酸拉羅匹侖2g/40mg聯合治療的中國裔患者的肌病發生率為1.24%。然而,這項臨床試驗在亞裔群體中僅評估了中國裔患者,由于中國裔患者中肌病發生率高于非中國裔患者,所以不推薦本品與調脂劑量(≥1g/日)煙酸聯用在亞裔人群中的使用(見藥物相互作用,其他藥物相互作用)。
肝功能損傷臨床研究中,大約1%接受辛伐他汀治療的成年患者出現血清轉氨酶持續升高(高于正常值上限3倍)。這些患者間斷或終止用藥后,轉氨酶水平通常緩慢地降低到治療前水平。這種轉氨酶升高不伴有黃疸或其他的癥狀或體征,沒有過敏的表現,這些患者中的一部分人在辛伐他汀治療前肝功能檢查異常和/或飲用過大量的酒精。在北歐辛伐他汀生存研究中,整個研究期間有一種以上轉氨酶升高超過正常值上限3倍的患者數,在辛伐他汀組和安慰劑組之間沒有顯著差異[14(0.7%):12(0.6%)]。
辛伐他汀組SGPT(ALT)單項升高達到正常值上限3倍的出現頻率在研究的第一年中明顯較高(20:8,P=0.023),但此后就不再明顯。轉氨酶的升高導致辛伐他汀治療組(n=2221)中8名患者及安慰劑組(n=2223)中5名患者停藥。4S研究中,用辛伐他汀治療的1986名患者在基線時肝功能檢查(LFTs)正常,僅有8人(0.4%)在5.4年(中位隨訪期)中轉氨酶連續超過正常值上限3倍和/或由于轉氨酶升高而停藥。此研究中所有患者辛伐他汀的起始劑量均為20mg,其中37%的患者在治療過程中調整到40mg。
在包括1105名患者的2項對照臨床研究中,認為與藥物有關的肝轉氨酶持續升高6個月的發生率,在40mg和80mg劑量組分別為0.7%和1.8%。在HPS研究中,20536名患者被隨機分配服用辛伐他汀每日40mg或安慰劑,轉氨酶升高超過正常值上限3倍的發生率在辛伐他汀組和安慰劑組分別為0.21%和0.09%。建議在治療開始前和隨后的有臨床指征時進行肝功能檢查。應特別注意出現血清轉氨酶升高的患者,對這些患者應及時重復測定并于此后增加肝功能檢查的頻率。如果轉氨酶水平表現為上升趨勢,尤其是轉氨酶值上升到正常值上限3倍并持續不降時,應停藥。應注意丙氨酸轉氨酶可能來自肌肉,因此丙氨酸轉氨酶伴隨肌酸激酶升高,有可能提示肌?。ㄒ娮⒁馐马棧〔?橫紋肌溶解)。
現在已有極少數關于患者應用他汀類,包括本品,發生致命和非致命的肝衰竭的上市后報告。假如在應用本品治療期間發生嚴重的肝損傷伴隨臨床癥狀,和/或高膽紅素血癥,或發生黃疸,立即停止應用本品。如果沒有找到致病源,不要再重新應用本品。對飲用大量酒精和/或有既往肝臟病史的患者,應謹慎使用該藥。辛伐他汀禁用于活動性肝臟疾病或原因不明的轉氨酶升高的患者。與其他降脂藥一樣,辛伐他汀治療后有血清轉氨酶中度(低于正常上限的3倍)升高的報道。這些變化在辛伐他汀治療開始后很快出現,但往往是暫時的,不伴有任何癥狀并且不需要中斷治療。
眼科檢查即使在沒有任何藥物治療時,隨著年齡的增長晶狀體混濁的發病率也會增加。長期臨床研究資料顯示,辛伐他汀對人的晶狀體無不良影響。
【孕婦及哺乳期婦女用藥】
妊娠期婦女 妊娠期婦女禁用本品。尚未有妊娠期婦女服用辛伐他汀的安全性數據。在妊娠婦女中尚未進行辛伐他汀的對照臨床試驗。由于在孕期使用HMG-CoA而導致的先天缺陷也很少有報道。但是,在對大約200名孕期的前三個月使用過辛伐他汀或其他密切相關的HMG-CoA抑制劑的患者回顧性分析時發現,先天缺陷的發生率與普通人群相似。這種回顧的患者數在統計學上已經能夠排除先天缺陷的發生率不高于普通發生的2.5倍或更高。
盡管沒有明確的證據能說明懷孕婦女使用辛伐他汀會造成先天缺陷發生增多,但是辛伐他汀能降低胎兒的甲羥戊酸(膽固醇生物合成的前體)水平。動脈粥樣硬化是慢性過程,所以妊娠期停用降脂藥對治療原發性高膽固醇血癥的長期效果影響甚小。因此妊娠期婦女、準備懷孕或可能懷孕的婦女禁用本品。在懷孕期間應暫停使用本品(見禁忌)。哺乳期婦女 目前還不了解辛伐他汀及其代謝產物是否經人乳分泌,因為許多藥物經人乳分泌且可能引起的嚴重不良反應,服用本品的婦女不宜哺乳(見禁忌)。
【兒童用藥】
辛伐他汀在年齡10~17歲的雜合子家族性高膽固醇血癥患者中的安全性和有效性已在一個在青春期男孩和女孩(至少初潮1年后)中進行的對照試驗得到評價。辛伐他汀治療組患者的不良事件總體與安慰劑組類似。在此人群中未進行劑量大于40mg的研究。在這個有限的對照研究中,未發現辛伐他汀對青春期男性或女性的生長或性成熟有明顯的影響,或對青春期女性的月經周期長度有影響(見用法用量;不良反應)。建議青春期女性辛伐他汀治療時采用適當的避孕方法(見禁忌;注意事項;孕婦及哺乳期婦女用藥)。未在年齡小于10歲的患者及月經初潮前的女孩中進行辛伐他汀的研究。
【老年用藥】
在老年患者(>65歲)應用辛伐他汀的對照臨床研究中,其降低總膽固醇和低密度脂蛋白膽固醇的效果與其他人群的結果相似,不良反應和實驗室檢查異常的總發生率也無明顯增多。然而,在一項患者接受80mg/天辛伐他汀治療的臨床試驗中,65歲及以上的患者發生包括橫紋肌溶解在內的肌病的風險相對高于65歲以下的患者。
【藥物相互作用】
多種機制可能引起與HMG-CoA還原酶抑制劑之間潛在的相互作用。抑制某些酶(如CYP3A4)和/或轉運蛋白(如OATP1B)通路的藥物或草藥產品可能會使辛伐他汀和辛伐他汀酸的血藥濃度升高,導致肌病/橫紋肌溶解的風險增加。查閱所有聯合用藥的處方信息以獲取與辛伐他汀潛在的相互作用和/或酶、轉運機制的變化以及給藥劑量和方案調整的更多信息。
藥物禁忌
禁忌聯合應用以下藥物:CYP3A4強抑制劑:辛伐他汀通過CYP3A4代謝但沒有CYP3A4抑制活性;因此它不會影響通過CYP3A4代謝的其他藥物的血漿濃度。強效CYP3A4抑制劑(如下)通過減少辛伐他汀的消除而增加肌病的危險。禁止聯合應用說明書上列舉的對CYP3A4 具有強抑制作用的藥物(例如,伊曲康唑,酮康唑,泊沙康唑,伏立康唑,紅霉素,克拉霉素,泰利霉素,HIV蛋白酶抑制劑,波普瑞韋、替拉瑞韋、奈法唑酮或含有cobicistat的藥物)合用(見禁忌;注意事項,肌病/橫紋肌溶解)。吉非貝齊,環孢菌素或達那唑: 禁止與辛伐他汀聯合使用(見禁忌;注意事項,肌病/橫紋肌溶解)。
其他藥物相互作用
其他貝特類:聯合應用除吉非貝齊之外的其他貝特類會增加肌病的風險;聯合使用時應當謹慎權衡獲益與風險。胺碘酮:胺碘酮與辛伐他汀聯合應用時, 肌病/橫紋肌溶解的風險可能會增加 (見用法用量;注意事項,肌病/橫紋肌溶解)。鈣通道阻滯劑:維拉帕米、地爾硫卓或氨氯地平和辛伐他汀聯合應用時,肌病/橫紋肌溶解的風險可能會增加(見用法用量;注意事項;肌病/橫紋肌溶解)。洛美他派:聯合應用洛美他派和辛伐他汀的患者,其肌病/橫紋肌溶解發生的危險性可能會增加(用法用量;注意事項,藥物相互作用)。
CYP3A4中效抑制劑:應用說明書上列舉的對CYP3A4有中等抑制作用的藥物的患者,聯合應用辛伐他汀,尤其是較高劑量的辛伐他汀,其肌病發生的危險性可能會增加。OATP1B1轉運蛋白抑制劑:辛伐他汀酸是OATP1B1轉運蛋白的底物。與OATP1B1轉運蛋白抑制藥物聯合應用時,可能引起辛伐他汀酸的血漿濃度升高,增加肌病的風險。乳腺癌耐藥蛋白抑制劑(BCRP):辛伐他汀是外排性轉運體BCRP的底物,聯合應用BCRP抑制劑時(例如elbasvir和grazoprevir),將導致辛伐他汀血藥濃度的增高從而增加肌病風險。
在聯合應用辛伐他汀與elbasvir或grazoprevir的患者中,有必要調整辛伐他汀的劑量(見用法用量;注意事項,其他藥物)。煙酸(≥1g/天):在辛伐他汀與調脂劑量的煙酸(≥1g/天)聯合使用中觀察到了肌病/橫紋肌溶解的病例(見注意事項,肌病/橫紋肌溶解)。夫西地酸:聯合應用夫西地酸可能會增加肌病/橫紋肌溶解的風險(見注意事項,肌病/橫紋肌溶解;藥代動力學)。秋水仙堿:有報告顯示, 在腎功能不全的患者中,聯合應用秋水仙堿和辛伐他汀會引起肌病和橫紋肌溶解。建議對聯合應用這些藥物的患者, 給予密切臨床監測。其他相互作用 葡萄柚汁含有一種或多種抑制CYP3A4的成份,能增加經CYP3A4代謝的藥物的血漿水平。常規飲用量(每日一杯250ml)所產生的影響很小。
(通過測定濃度-時間曲線下面積,血漿HMG-CoA還原酶抑制活性增加了13%)且無臨床意義。但是較大量的飲用則顯著增加血漿HMG-CoA還原酶抑制劑的活性,因此,在辛伐他汀治療期間應避免飲用葡萄柚汁(見注意事項,肌病/橫紋肌溶解)。香豆素衍生物 在一項健康志愿者和另一項高膽固醇血癥患者參加的臨床研究中,每天服用辛伐他汀20~40mg,能中度提高香豆素類抗凝劑的抗凝效果,以凝血酶原時間國際標準化比率(INR)計,健康志愿者組的凝血酶原時間從基線的1.7延長到1.8秒,高膽固醇血癥患者組從2.6延長到3.4秒。對于使用香豆素抗凝劑的患者,應在使用辛伐他汀之前測定其凝血酶原時間,并在治療初期經常測量,以保證凝血酶原時間無明顯變化。一旦記錄下穩定的凝血酶原時間,應建議患者在服用香豆素類抗凝劑期間定期監測凝血酶原時間。如調整辛伐他汀劑量或停藥,應重復以上步驟。對于未服用香豆素類抗凝劑的患者,出血或凝血酶原時間變化與服用辛伐他汀無關。地高辛 一項研究發現,同時服用地高辛和辛伐他汀使地高辛的血藥濃度輕度升高。聯合使用地高辛和辛伐他汀時應當監測地高辛血藥濃度。
【藥物過量】有少數服藥過量的報道;最大服用劑量為3.6g。所有患者均康復且無后遺癥。一般采取常規措施處理服藥過量。
【藥理毒理】
藥理作用 辛伐他汀是一種前藥,給藥后水解為活性形式β-羥基酸,即辛伐他汀酸。辛伐他汀是特異性的HMG-CoA還原酶抑制劑,該酶作為膽固醇生物合成的限速酶,催化HMG-CoA轉化為甲羥戊酸。辛伐他汀能降低血漿極低密度脂蛋白(VLDL)和甘油三酯(TG)濃度,升高血漿高密度脂蛋白膽固醇(HDL-C)的濃度。
毒理研究 中樞神經系統(CNS)毒性:犬經口給予辛伐他汀180mg/kg/天(基于暴露水平推算,約為人體劑量80mg/天的12倍或更高),連續給藥14周,可見視神經退化。犬經口給予與辛伐他汀化學性質類似的藥物60mg/kg/天(基于總酶抑制活性推算,約為人最大推薦劑量的30倍或更高),可見視神經退化(視網膜-膝狀體(神經)纖維的華勒(氏)變性),該效應具有劑量相關性。
犬經口給予辛伐他汀180mg/kg/天,連續給藥14周,可見前庭(耳)蝸的Wallerian-like樣變質和視網膜神經節細胞染質溶解, 該劑量產生的平均血漿藥物水平與每日60mg/kg/天劑量下的水平相似。
CNS血管性損害:犬經口給予辛伐他汀劑量達360mg/kg/天(基于暴露水平推算,約為人體80mg/天的14倍或更高),可見血管周圍出血和水腫,血管周隙單核細胞滲透、血管周隙纖維蛋白沉著和小血管壞死,同類藥物也觀察到類似的CNS血管病變。 雌性大鼠經口給予辛伐他汀50和100mg/kg/天(基于暴露水平推算,分別約為人體80mg/天的22和25倍),連續給藥2年;犬經口給予辛伐他汀90mg/kg/天(19倍)連續3個月,以及50mg/kg/天(5倍)連續2年,可見動物出現白內障。
遺傳毒性:辛伐他汀在使用或未使用大鼠或小鼠肝臟代謝活化的微生物致突變性(Ames)試驗、大鼠肝細胞遺傳物質損傷試驗、V-79哺乳動物細胞正向突變試驗和CHO細胞染色體畸變試驗,以及體內小鼠微核試驗結果均為陰性。
生殖毒性:雄性大鼠重復經口給予辛伐他汀25mg/kg,給藥34周,可見生育力降低(基于暴露水平推算,約為人體80mg/天的4倍),但在隨后的雄性大鼠重復給予辛伐他汀25mg/kg的11周毒性試驗,觀察至完整的精子周期,包括附睪成熟,未見對生育力的明顯損傷,未見睪丸明顯組織病理學改變,但在180mg/kg(基于暴露水平推算,約為人體80mg/天的22倍)可見生精小管退化(壞死和生精上皮細胞丟失)。犬重復給予辛伐他汀10mg/kg(基于暴露水平推算,約為人體80mg/天的2倍)可見藥物相關的睪丸萎縮、精子生成降低、精母細胞退化、巨細胞形成,臨床相關性尚不明確。妊娠大鼠和兔分別經口給予辛伐他汀25mg/kg和10mg/kg(約為人體暴露量的3倍),未見胚胎-胎仔生長發育明顯異常,但其他結構類似的他汀類藥物在可見大鼠和兔的子代骨骼肌畸形。大鼠經口給予辛伐他汀活性羥酸化代謝產物60mg/kg/天,可見母體體重下降、胚胎吸收率增加和骨骼肌畸形增多。之后的類似試驗顯示,胚胎吸收和骨骼肌畸形僅發生于嚙齒類動物,且與母體毒性(前胃損害并伴有體重下降)有關。
致癌性:小鼠經口給予辛伐他汀25、100和400mg/kg/天,給藥72周,平均血漿藥物水平分別約相當于人體劑量80mg/天暴露量的1、4和8倍,肝細胞癌在高劑量雌性和中、高劑量雄性動物的發病率模型升高,其中在雄性動物的最高發病率達90%,中、高劑量組雌性肝臟腺瘤的發病率模型升高,高劑量組哈德腺(嚙齒類動物眼部腺體)腺瘤的發病率模型升高,未見25mg/kg組致瘤作用的證據。在一項獨立的92周小鼠致癌性研究中,未觀察到25mg/kg組(基于暴露水平推算,約相當于人體80mg/天)致瘤作用的證據。大鼠2年致癌性試驗,25mg/kg劑量組雌性動物,甲狀腺濾泡細胞腺瘤的發病率明顯增加,暴露水平約為人體劑量80mg/天暴露量的11倍。另一項大鼠2年致癌性試驗,50和100mg/kg劑量組肝細胞腺瘤和肝細胞癌發生率增加(兩個劑量組的雌性動物和高劑量組雄性動物均出現),兩個劑量組雌雄動物甲狀腺濾泡細胞腺瘤的發病率明顯增加,100mg/kg劑量組雌性動物的甲狀腺濾泡細胞癌發生率增加,以上甲狀腺腫瘤發生率增加與他汀類其他藥物相似,分別約為人體80mg/天血漿暴露水平的7倍和15倍(雄性)以及22倍和25倍(雌性)。
【藥代動力學】
辛伐他汀經口服后對肝臟有高度的選擇性,其在肝臟中的濃度明顯高于其他非靶性組織,辛伐他汀的大部分在肝臟進行廣泛的首過吸收,主要作用在肝臟,隨后經膽汁排泄。只有低于5%劑量的辛伐他汀活性成份在外周中發現,而其中95%可與血漿蛋白結合。一項藥代動力學試驗顯示,同時服用地爾硫卓導致辛伐他汀酸的暴露量增加了2.7倍,推測是由CYP3A4的抑制作用引起(見注意事項,肌病/橫紋肌溶解)。一項藥代動力學試驗顯示,同時服用氨氯地平導致辛伐他汀酸的暴露量增加了1.6倍(見注意事項,肌病/橫紋肌溶解)。一項藥代動力學試驗顯示,2g單劑量緩釋煙酸與辛伐他汀20mg聯用時,可導致辛伐他汀和辛伐他汀酸的AUC及辛伐他汀酸血漿濃度Cmax的升高(見注意事項,肌病/橫紋肌溶解)。夫西地酸在肝臟的特定代謝途徑尚不清楚, 但仍懷疑夫西地酸和經CYP3A4代謝的HMG-CoA還原酶抑制劑有相互作用(見注意事項,肌病/橫紋肌溶解)。
【貯 藏】密閉,在30℃以下保存。
【包 裝】口服固體藥用高密度聚乙烯瓶(1)10mg:10片/瓶,20片/瓶 ;1瓶/盒;(2)20mg:10片/瓶;1瓶/盒;
【有 效 期】24個月
【執行標準】YBH05412020
【批準文號】10mg:國藥準字H20065119 20mg:國藥準字H20065120
【生產企業】
企業名稱:山東羅欣藥業集團股份有限公司
生產地址:山東省臨沂高新技術產業開發區羅七路
郵政編碼:276017
電話號碼:0539-8257899 8481991
傳真號碼:0539-8481990
售后服務:0539-8242699
網 址:m.sh-ading.com
高脂血癥
對于原發性高膽固醇血癥包括雜合子家族性高膽固醇血癥、高脂血癥或混合性高脂血癥的患者,當飲食控制及其他非藥物治療不理想時,結合飲食控制,本品可用于降低升高的總膽固醇、低密度脂蛋白膽固醇、載脂蛋白B和甘油三酯,且可升高高密度脂蛋白膽固醇,從而降低低密度脂蛋白膽固醇/高密度脂蛋白膽固醇及總膽固醇/高密度脂蛋白膽固醇的比率。對于純合子家族性高膽固醇血癥患者,結合飲食控制及非飲食療法,本品可用于降低升高的總膽固醇、低密度脂蛋白膽固醇和載脂蛋白B。
冠心病
對于冠心病合并高膽固醇血癥的患者,本品適用于:降低死亡的危險性;降低冠心病死亡及非致死性心肌梗死的危險性;降低卒中和短暫性腦缺血的危險性;降低心臟血管重建手術(冠狀動脈旁路移植術及經皮腔內冠狀動脈成形術)的危險性;延緩冠狀動脈粥樣硬化的進程,包括減少新病灶及全堵塞的形成。
患有雜合子家族性高膽固醇血癥的兒童患者
對于患有雜合子家族性高膽固醇血癥的10~17歲的青春期男孩和女孩(至少初潮1年后),結合飲食控制,本品可用于降低總膽固醇、低密度脂蛋白膽固醇、甘油三酯和載脂蛋白B。
患者接受本品治療以前,應接受標準的降膽固醇飲食并在治療過程中繼續維持。
推薦劑量范圍為每天5~40mg,晚間一次服用,所用劑量應根據基礎低密度脂蛋白膽固醇水平、推薦的治療目標和患者反應進行個體化調整。調整劑量應間隔4周或以上。推薦的起始劑量為每天10mg或20mg,晚間一次服用。對于因存在冠心病、糖尿病、周圍血管疾病、卒中或其他腦血管疾病史而屬于CHD事件高危人群的患者,推薦的起始劑量為20~40mg/天。對于只需中度降低低密度脂蛋白膽固醇的患者,起始劑量為10mg。----限制80mg/天劑量的使用 辛伐他汀可增加肌病包括橫紋肌溶解的風險(特別是在用藥的第一年內)。基于上述風險,對于40mg/天劑量未能使低密度脂蛋白膽固醇達標的患者,不應再增加給藥劑量,而應轉換為其他療效更強的療法。對于原來正在使用辛伐他汀80mg且無安全性問題的患者,如果需要開始使用與辛伐他汀有相互作用的藥物,而該藥物禁止與辛伐他汀合用,或者合用該藥物時對辛伐他汀的劑量有限制,則應當將本品轉換為藥物相互作用可能性較低的其他他汀類藥物。由于增加肌病包括橫紋肌溶解的風險,本品80mg劑量僅限用于既往已經長期使用(≥1年)辛伐他汀80mg劑量,并且不存在肌肉毒性證據的患者。----合并使用其他藥物 同時服用維拉帕米、地爾硫卓或決奈達隆:本品的劑量不能超過10mg/天;同時服用胺碘酮、氨氯地平、雷諾嗪或含有elbasvir、grazoprevir的藥物:本品的劑量不能超過20mg/天。
----純合子家族性高膽固醇血癥
根據一項對照臨床研究的結果,對于純合子家族性高膽固醇血癥患者,本品的推薦劑量為每天40mg,晚間一次服用。本品可與其他降脂療法聯合應用(如低密度脂蛋白血漿分離置換法),當無法使用這些方法時,可單獨使用本品。同時服用洛美他派,本品的劑量不能超過40mg/天。
----腎功能不全的患者
由于本品經腎臟排泄不明顯,故輕、中度腎功能不全患者不需調整劑量。然而,對于嚴重腎功能不全的患者(肌酐清除率<30ml/分鐘)應慎用本品,此類患者的起始劑量應為每天5mg,并密切監測。
----雜合子家族性高膽固醇血癥兒童患者(10~17歲)
對雜合子家族性高膽固醇血癥10~17歲的兒童患者,本品推薦的起始劑量為每天10mg,晚間一次服用。推薦的劑量范圍為每天10~40mg,推薦的最大劑量為每天40mg。所用劑量應根據推薦的治療目標進行個體化調整。
----中國患者使用調脂劑量的煙酸或含煙酸藥物
中國患者合并使用辛伐他汀40mg/天與調脂劑量的煙酸或含煙酸藥物時,肌病風險增高,因此,中國患者合并使用超過20mg劑量的辛伐他汀與調脂劑量的煙酸或含煙酸藥物要謹慎。因為肌病的風險與劑量具有相關性,中國患者不應合并使用80mg劑量辛伐他汀與調脂劑量的煙酸或含煙酸藥物。中國患者肌病風險增加的原因尚不明確。尚不清楚在其他亞裔患者中,聯合應用是否會導致肌病的風險增加。